全台灣最大的翻譯商業組織
全台灣最大的翻譯商業組織

第12-3次會員大會

114年4月21日,假柚子花花客家菜餐廳,召開本次大會,會員代表計52人踴躍出席,理事長致詞表示,面臨人工智慧翻譯,大家請保持樂觀,也希望大家藉此機會多交流。貴賓趙公證人說,碰到老朋友非常高興,希望大家萬事順利,徐立信議員說,感謝過去大家對阿信提攜,讓阿信從翻譯公會走到社會、到市議會,懷著感恩的心,發給大家台中同鄉會消費券,歡迎大家來這些店家消費,有興趣也可來參加台中同鄉會,彼此認識,進行商業交流。本次大會通過本會113年度工作報告、收支決算表及113年度工作計劃、收支預算表;由會員籌組社團活動,本會酌予補助經費;舉辦旅遊活動;公會認證書可零買等案。會後聯誼餐敘及摸彩,除會員踴躍捐贈34個獎項,本會另加購16張7-11商品卡(面額500元),讓與會者均能獲獎。

全台灣最大的翻譯商業組織

第12-2次會員大會

113年4月26日,假柚子花花客家菜餐廳,召開本次大會,會員代表計50人踴躍出席,會中通過本會112年度工作報告、112年度收支決算表、113年度工作計劃、113年度收支預算表、本會章程第29條及第33條內容修正、提供本會會員婚喪喜慶申請補助、建請續推動翻譯人才能力檢定辦法等案。會後聯誼餐敘及摸彩。

全台灣最大的翻譯商業組織

第12-1次會員大會

112年4月21日,假榮榮園浙寧餐廳舉行本次大會,會員代表計47人踴躍出席。

戴理事長表示,非常謝大家百忙中參加大會,過去幾年疫嚴重,大家非常辛苦,現在疫情趨緩,望大家業務能蒸蒸日上。本次大會要改選理、監事,希望大家能支持公會,多參加公會所舉辦各項活動,讓公會更好、更往前走,也希望大家有任何事情,可以向公會或理、監事反映,一定為大家服務,不要有事都不找公會,然後又覺得公會沒什麼功用。在此準備了些禮物、伴手禮,這也是理、監事為大家的服務,希望大家多參與。 會議依序進行,提案討論後,進行理、監事換屆改選作業,順利選出第12屆新任理監事;隨後召開第12屆第1次理、監事會議,范姜衛良先生榮任第12屆新任理事長,范姜先生表示,感謝理監事支持,並期許新任理監事團隊,要以新的思維、新的做法大家團結一心,凝聚共識,共同為會務發展努力。

會後舉行餐敘聯誼及摸彩,獎品豐盛,有61個摸彩品。現場氣氛熱烈,每位出席人員均有獲獎機會,大會圓滿成功。

全台灣最大的翻譯商業組織

第11-2次會員大會

110年4月23日,假龍翔園餐廳舉行,由戴廸理事長主持,台北市翻譯業職業工會張理事長蒞會並致詞。

理事長致詞表示,就任以來,經常強調,會務要不斷創新與改革。過去一年,受疫情影響,很多活動受到限制,但本會仍積極向臺北國稅局、勞動部勞工保險局、領務局等相關政府單位陳情,以爭取會員權益。感謝會員們大力支持,繳納會費、支持公會網頁收費廣告、使用公會認證書。我們盡量撙節各項費用支出,使財務狀況改善,得以更積極提供會員福利,讓大家能積極參與本會舉辦之各項活動。

台北市翻譯業職業工會張理事長說,任內希望推動3件事:(1)稿費免稅額18萬元,10幾年未調,不符時代潮流,應予大幅調高,之前與立委溝通將召開公聽會,會通知大家參加。(2)各稅捐稽徵處對翻譯費認知不同,87年財政部行政命令迄今已10幾年了,有必要釐訂清楚。(3)翻譯費沒有單獨項目,而9B稿費收入可以檢附成本和費用憑證減除,或直接減除30%的成本費用。工會非營利單位,若各位需要譯者可向本會申請,翻譯社與譯者間有任何糾紛,也可透過本會協商,許多勞資糾紛透過本會協商,均圓滿成功,不要動不動就提告,浪費金錢、時間,大家有任何需要幫忙,只要我們做得到,非常歡迎來電。

討論提案通過109年度工作報告、收支決算表,110年度工作計劃、翻譯人才能力檢定辦法、舉辦秋季旅遊活動、請公會調查各會員專業項目,讓會員彼此合作交流等案。並希望會員若遇不良譯者,隨時告知本會,以利本會通知會員,避免會員發生困擾,公布在網頁上資料,會遮掩個資,描述事實,不會觸法,各位不要擔心。

會後舉行餐敘聯誼及摸彩,獎品豐盛,現場氣氛熱烈,每位出席人員均有獲獎機會,大會圓滿成功。

全台灣最大的翻譯商業組織

第11-1次會員大會

108年4月12日,假台北馥敦飯店南京館舉行本次大會,53名會員代表參加。

理事長致詞表示,感謝大家百忙中參加大會,去年幫各位爭取福利、建議領務局改善文件證明書與文件裝訂方式、舉辦旅遊活動。今天將進行選舉,希望大家參與此一服務會員機會。

討論提案通過107年度工作報告、收支決算表,108年度工作計劃、收支預算表等案。

接著選舉理監事,並召開第11屆第1次理監事會,選舉常務理事、理事長及常務監事。經過現場投票、唱票後選出理監事,新當選理監事名單如下:

理 事 長:戴 迪

常務理事:李力群、王白蒂

理 事:黃馨儀、范姜衛良、李致曄、王白蒂、楊文考、鄭有晉、黃峻祥

常務監事:吳麗敏

監 事:劉權、王美娟

候補理事:徐立信、陳怡安、張修華

候補監事:戴正平

會後舉行餐敘聯誼及摸彩,獎品豐盛,現場氣氛熱烈,包括研磨咖啡機(5,280元)、液晶煎烤爐(3,690元)、微波爐(3,200元)…等,合計44個獎項。

會員大會及理監事聯席會議紀錄,

於4月29日函報社會局備查,理監事、常務理監事及理事長選舉結果,該局予以核備,107年度工作報告及收支決算表、108年度工作計畫及收支預算表,該局予以備查。

全台灣最大的翻譯商業組織

第10-3次會員大會

106年4月20日,假台北馥敦飯店翡翠廳召開本次大會,由戴廸理事長主持。

戴理事長說,接任職務以來,雖資源有限,仍一本初衷為會員謀福利,去年舉辦「登龜山島一日遊活動」、「電腦輔助翻譯研討會」,參加也很踴躍。還有向領務局提意見、爭取會員權益,促使該局接受國人持附有相片之健保卡做為申請之身分證明,並同意倘遇等候人數超過15人時,向櫃台小姐反映,將隨時加派人手機動前往櫃檯支援,加速櫃檯收件流程。此外也向台北市商業會提案「建請政府各級採購應將公會會員證列為必要審核項目。」,經其大會通過,同意立案轉呈相關單位,希望今後政府採購案能限定公會會員參與。如果翻譯遇到瓶頸、有公證問題或其他意見,我也可以幫助各位,歡迎隨時來電。

台北市翻譯職業工會張志雄副秘書長提兩點分享:(一)跨業合作:很多書籍在東南亞有市場,預估童書約2萬冊,其他書籍近10萬冊,但出版社無法翻譯,若出版、翻譯界緊密合作,假設1種書翻成4種語言,就有40萬個機會,並透過電子書平台服務,不需要成本。(二)創造市場:東南亞國家購買力提昇,越南、泰國、印尼…等國,人口加起來好幾億,大家可投入這些國家翻譯市場。並表示,該工會接受政府補助,將舉辦電子書、印尼語、泰語…等訓練課程,歡迎大家一起參與瞭解。

討論提案通過106年度工作報告、收支決算表,107年度工作計劃、神通企管顧問有限公司除名、每年至少舉辦一次旅遊活動等案,有關「刊登公會網頁廣告,購買兩年以上是否可享折扣」一案,擬提請下次理監事會討論。

會後舉行餐敘聯誼及摸彩,獎品豐盛,現場氣氛熱烈,包括現金6,000元、果汁機(4,000元),合計44個獎項,趙公證人原捐贈3,000元,為讓每位出席人員均有獲獎機會,再加碼捐出3,000元。大會圓滿成功。

全台灣最大的翻譯商業組織

第10-2次會員大會

106年4月14日,假北馥敦飯店南京館舉行,由戴廸理事長主持,台北市商業會章金元常務理事、台北市翻譯業職業工會張理事長蒞會並致詞,會中即進行理事會工作報告,監事會監察報告、提案討論、通過取消129家未繳費等會員編號等案。會後舉行餐敘聯誼及摸彩,獎品豐盛,包括理事長捐贈「雙溫控旋轉烤箱」(價值3,280元)、趙公證人捐贈3,000元現金…等,計49個摸彩品,讓參與餐會的會員盡歡。

全台灣最大的翻譯商業組織

第10-1次會員大會

105年3月25日,假台北馥敦飯店南京館舉行本次大會,35名會員代表參加。

第9屆理事長致詞感謝大家照顧以及對公會支持,翻譯職業工會張理事長說該會有1,300多位譯者,可提供各方面翻譯服務。

討論提案通過104年度工作報告、收支決算表,105年度工作計劃、收支預算表及入會費調整為4,000元整等案,未通過提高會費至8,000元一案。

為縮短投票、記票時間,理監事選舉採無記名限制連記法,並隨即召開第10屆第1次理監事會,選舉常務理事、理事長及常務監事。經過現場投票、唱票後選出理監事,同票數以抽籤決定順序。

新當選理監事名單如下:

理 事 長:戴 廸

常務理事:李力群、周韻蘋

理 事:吳麗霞、黃馨儀、王美娟、吳麗敏、王白蒂、謝碧珠

常務監事:徐立信

監 事:楊清芬、范姜衛良

候補理事:劉家君、陳佩頤

候補監事:楊文考

會後舉行餐敘聯誼及摸彩,獎品豐盛,現場氣氛熱烈,包括SOGO禮券5,000元、24吋電腦螢幕(4,388元),合計53個獎項,每位出席人員有兩次獲獎機會。

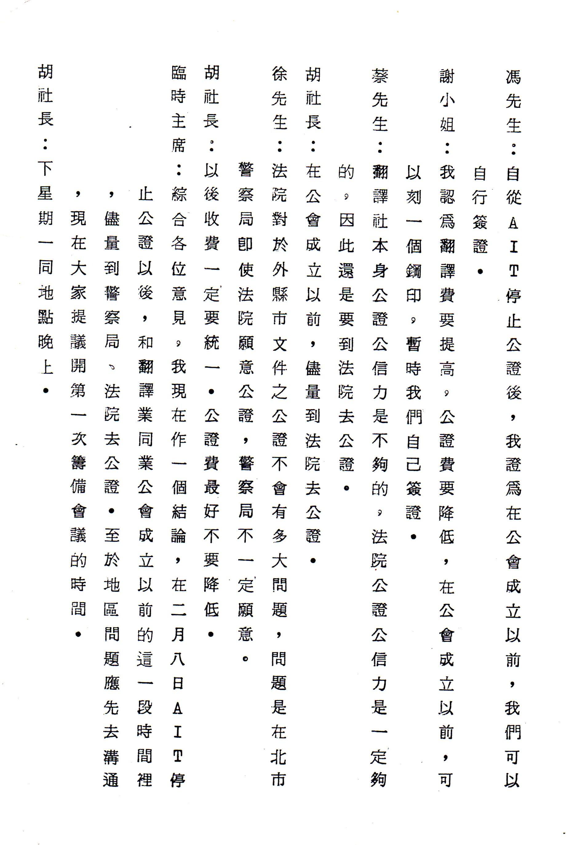
全台灣最大的翻譯商業組織

第1次籌備會議

時間:民國77年10月28日

全台灣最大的翻譯商業組織

台北市翻譯業者聯席會議

日期:民國77年2月6日